Acerca do esforço cortante e do momento fletor atuantes em vigas, julgue o item a seguir.
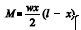
Considere que, para uma viga simplesmente apoiada, ilustrada abaixo, submetida a um carregamento uniformemente distribuído w, o momento fletor é dado por
. Nessa situação, o esforço cortante V satisfaz a relação V = wx.
