Magna Concursos
3453145 Ano: 2024
Disciplina: Matemática
Banca: DECEx
Orgão: EsPCEx
Provas:

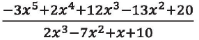
Para todo x\( \mathbb{R} \) -\( \left\{-1,\dfrac{5}{2},2\right\} \), a expressão Enunciado 3993597-1 equivale a:

 

Provas

Questão presente nas seguintes provas

Aluno

100 Questões