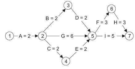
O diagrama de rede abaixo representa as atividades de um cronograma de um projeto, onde a duração de cada atividade é mensurada em dias.

Se as durações das atividades H e I fossem alteradas, respectivamente, para 4 e 6 dias, qual seria o caminho crítico?

Se as durações das atividades H e I fossem alteradas, respectivamente, para 4 e 6 dias, qual seria o caminho crítico?
Provas
Questão presente nas seguintes provas