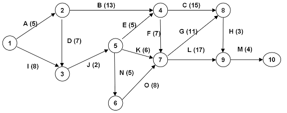
O Método do Caminho Crítico (CPM - Critical Path Method) é usado no gerenciamento de sistemas produtivos do tipo por projetos, tal como o setor da construção civil. Nesse método, a sequência das atividades e a duração de cada uma delas são usadas para construir uma rede que serve de base para a programação da produção. Para cada atividade são calculadas a DCI (Data mais Cedo de Início), a DCT (Data mais Cedo de Término), a DTI (Data mais Tarde de Início) e a DTT (Data mais Tarde de Término) com o objetivo de determinar o caminho crítico.
O diagrama a seguir representa uma rede, em que as letras designam as atividades e os números que figuram entre parêntesis, ao lado dessas letras, representam a duração em semanas da respectiva atividade.

Dadas essas condições, o caminho crítico é