Sobre as estruturas de dados denominadas árvores, assinale a alternativa correta:
considerando a figura a seguir, que representa uma árvore binária, o percurso em In-ordem será: A, C, B, E, G, F, D, I, K, J, M, N, L, H.
existem várias formas de representação de árvores, como a árvore a seguir, intitulada “T”, que está representada na forma de parênteses aninhados:
( A ( B ) ( C ( D ( G ) ( H ) ) ( E ) ( F ( I ) ) ) ).
Neste exemplo, a árvore T = {A, B, ...}, possui três sub árvores:
Tb, Tc e Td onde Tb = { B }, Tc = {C, D, ...} e Td = {G, H...}.
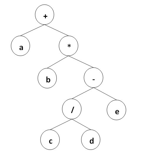
a figura a seguir representa uma árvore de expressão para a seguinte expressão aritmética: (a + (b * (c - d / e))).
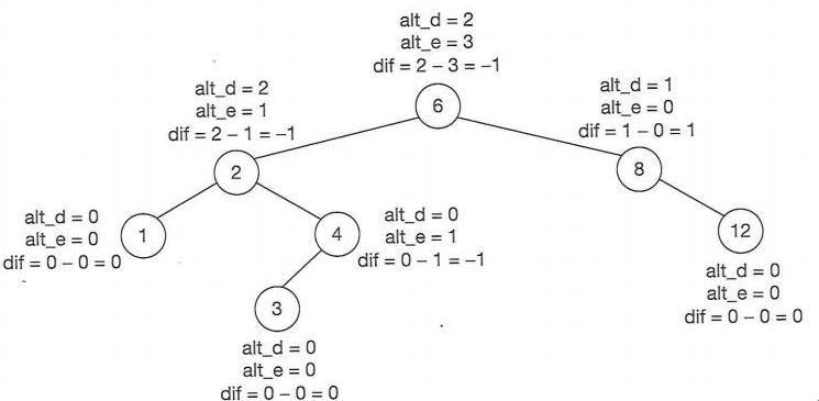
de acordo com Ascencio e Araújo (2010), a árvore AVL, criada em 1962 por Adelson-Velsky e Landis, é uma árvore binária balanceada, ou seja, é uma árvore que obedece a todas as propriedades da árvore binária e em cada nó apresenta diferença de altura entre as sub-árvores direita e esquerda de 1, 0, ou -1, como ilustra a figura a seguir.
uma sequência de nós distintos v1, v2, ..., vk, tal que existe sempre entre nós consecutivos (isto é, entre v1 e v2, entre v2 e v3, ..., v(k-1) e vk) a relação “é filho de” ou “é pai de” é denominada a altura da árvore.
Olá, para continuar, precisamos criar uma conta! É rápido e grátis.