Magna Concursos
546730 Ano: 2018
Disciplina: Engenharia Civil
Banca: FCC
Orgão: ALESE

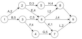
O planejamento de uma obra seguiu o cronograma PERT-CPM, conforme figura a seguir, onde as atividades são representadas por letras, seguidas de sua duração em dias.

enunciado 546730-1

Para que a obra seja entregue no tempo previsto, uma das atividades que não pode atrasar é aquela representada pela letra

 

Provas

Questão presente nas seguintes provas

Analista Legislativo - Engenharia Civil

60 Questões