Magna Concursos
1798057 Ano: 2008
Disciplina: Matemática
Banca: CESPE / CEBRASPE
Orgão: SERPRO

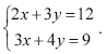
Dois software, S1 e S2, são utilizados diariamente por participantes de diferentes grupos de trabalho em certa empresa. Um desses grupos de trabalho está interessado na fabricação de dois produtos, P1 e P2; a fabricação de cada unidade de P1 requer 2 horas de utilização de S1 e 3 horas de utilização de S2, enquanto a fabricação de cada unidade de P2 requer 3 horas de utilização de S1 e 4 horas de utilização de S2. Foi decidido que, por motivos estratégicos, o software S1 estará disponível a esse grupo de trabalho por 12 horas por dia, enquanto o software S2 estará disponível por 9 horas diárias a esse grupo de trabalho. Os pesquisadores desse grupo desejam saber quantas unidades de P1 e quantas unidades de P2 conseguem produzir nessas condições diariamente e observaram que uma maneira de saber isso seria resolver o sistema de equações lineares enunciado 1798057-1.

Com base nas informações acima, julgue os itens a seguir.

Nas condições apresentadas, não é possível produzir mais que três unidades diárias do produto P1.

 

Provas

Questão presente nas seguintes provas

Analista de TI - Redes

120 Questões

Analista de TI - Suporte

120 Questões