3392071
Ano: 2024
Disciplina: TI - Organização e Arquitetura dos Computadores
Banca: IF-ES
Orgão: IF-ES
Disciplina: TI - Organização e Arquitetura dos Computadores
Banca: IF-ES
Orgão: IF-ES
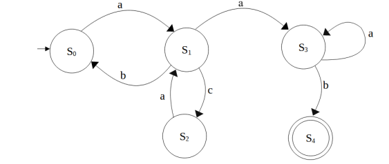
Considerando a Teoria da Computação para expressões regulares, qual expressão pode ser utilizada para representar o seguinte Autômato Finito Determinístico (AFD):´
Obs: para essa questão, foi utilizada a notação de teoria da computação no estudo das propriedades de linguagens regulares:
● União: U
● Estrela: *
● Concatenação: ° (que pode estar implícito)
