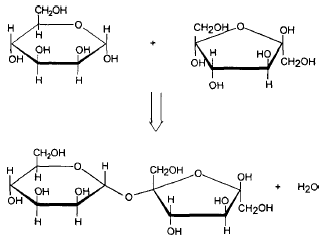
O esquema a seguir representa a formação da sacarose, um dissacarídeo, a partir da reação entre a glicose e a frutose:

Após analisar o esquema acima e com base nos seus conhecimentos sobre carboidratos, analise as afirmativas abaixo e, a seguir, assinale a alternativa correta.
I. O esquema acima representa uma reação de condensação.
II. A glicose é uma hexose e a frutose é uma pentose.
III. A degradação da sacarose é uma hidrólise.
IV. A formação de um polissacarídeo é uma polimerização de adição.
V. A ligação entre os dois anéis na sacarose é do tipo covalente.
Provas
Questão presente nas seguintes provas