Magna Concursos
503882 Ano: 2013
Disciplina: Matemática
Banca: FUMARC
Orgão: PC-MG
Provas:
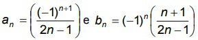
Duas sequências são formadas pelos termos gerais: enunciado 503882-1. Quando n tende para o infinito, pode-se observar que o comportamento dessas sequências é dado, respectivamente, por:
 

Provas

Questão presente nas seguintes provas

Perito Criminal

60 Questões