Magna Concursos
191073 Ano: 2014
Disciplina: Engenharia Elétrica
Banca: FGV
Orgão: DPE-RJ
Provas:
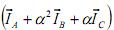
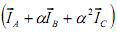
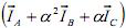
Um sistema trifásico possui as correntes de fases iguais a enunciado 191073-6A, enunciado 191073-2B e enunciado 191073-3C . A alternativa que apresenta corretamente os componentes simétricos de sequências zero, positiva ou negativa ( enunciado 191073-40 , enunciado 191073-51 ou enunciado 191073-12 ) em função dessas correntes de fases é
 

Provas

Questão presente nas seguintes provas

Engenheiro Eletricista

80 Questões