Nas especificações do projeto mecânico de um acoplamento eixo-furo de 30 mm, foram dadas as seguintes informações:

É CORRETO afirmar que os ajustes indicados são, respectivamente:
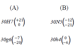
Nas especificações do projeto mecânico de um acoplamento eixo-furo de 30 mm, foram dadas as seguintes informações:

É CORRETO afirmar que os ajustes indicados são, respectivamente: