Magna Concursos
3106610 Ano: 2016
Disciplina: Química
Banca: IFS
Orgão: IFS

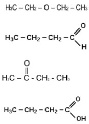
As funções orgânicas das substâncias listadas a seguir são, respectivamente, de cima para baixo:

Enunciado 3432054-1

 

Provas

Questão presente nas seguintes provas

Técnico de Laboratório - Química

70 Questões