Magna Concursos
1821777 Ano: 2013
Disciplina: Biologia
Banca: CESPE / CEBRASPE
Orgão: SESA-ES
Provas:

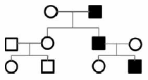
Assinale a opção que representa o heredograma com características de herança ligada ao sexo.

Questão Anulada

Provas

Questão presente nas seguintes provas

Biólogo

80 Questões