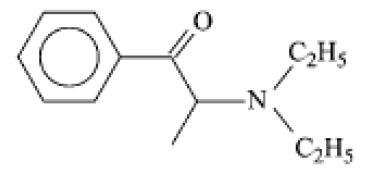
(URCA/2019.1) A dietilpropiona é uma substância usada como psicoestimulante. Essa substância afeta o sistema nervoso e deve ser ingerido apenas sob orientação médica. A estrutura da dietilpropiona está representada a seguir:

Nessa estrutura estão presentes as funções orgânicas
Provas
Questão presente nas seguintes provas