- Química OrgânicaCadeias Carbônicas
- Química OrgânicaFunções Nitrogenadas: Amina, Amida, Nitrila, Isonitrila e Nitro Composto
- Química OrgânicaFunções Oxigenadas: Cetona, Aldeído, Éter, Éster, Ácido Carboxílico etc.
A gota ou artrite gotosa, chamada popularmente de
reumatismo nos pés, é uma doença inflamatória
causada pelo excesso de ácido úrico no sangue, que
causa muita dor nas articulações. Os sintomas incluem
o inchaço, a vermelhidão e a dor ao movimentar uma
articulação, sendo que a mais afetada, geralmente, é a
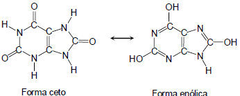
do dedão do pé. O ácido úrico apresenta duas
estruturas equivalentes, sendo a forma enólica a
menos estável:
De acordo com a forma enólica do ácido úrico, é correto afirmar que:
De acordo com a forma enólica do ácido úrico, é correto afirmar que:
Provas
Questão presente nas seguintes provas