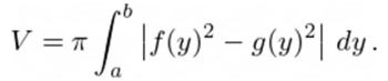
O volume do sólido formado pela rotação da área entre as curvas de f(y) e g(y) e as linhas y = a e y = b em torno do eixo y é dado por:
Determine o volume aproximado do sólido obtido pela rotação, em torno do eixo y, da região delimitada por y = √x, y = 3 e o eixo y.

Determine o volume aproximado do sólido obtido pela rotação, em torno do eixo y, da região delimitada por y = √x, y = 3 e o eixo y.
