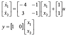
Considere um sistema representado no espaço de estados pelo seguinte conjunto de equações matriciais:

A função de transferência G(s) que representa o sistema está corretamente indicada em:
Considere um sistema representado no espaço de estados pelo seguinte conjunto de equações matriciais:

A função de transferência G(s) que representa o sistema está corretamente indicada em: