Considere os dados do projeto de drenagem a seguir:
• dreno do tipo valeta, com profundidade de 1,5 m;
• profundidade da camada impermeável de 2,0 m;
• profundidade mínima desejada do lençol freático de 0,5 m;
• condutividade hidráulica do solo de 100 cm/dia;
• lâmina d’água a ser drenada de 5 mm por dia.
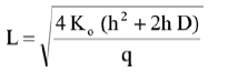
Sendo a forma generalizada da equação de DONNAN:

sendo P = 1,5 m; P + D = 2,0 m; H = 0,5 m; H + h = 1,5 m, sabendo que D<2P.
O espaçamento que deve ser adotado para esse projeto de drenagem, implantado em uma área úmida, é em metros, igual a: