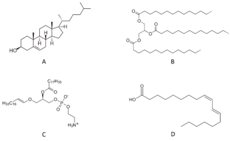
Lipídios são moléculas orgânicas pouco solúveis em água, com importantes funções estruturais e
energéticas, além de funcionarem como isolantes térmicos e elétricos. Analise as moléculas a seguir.

As estruturas A, B, C e D representam, respectivamente:

As estruturas A, B, C e D representam, respectivamente: