Magna Concursos
1493861 Ano: 2006
Disciplina: Matemática
Banca: NCE-UFRJ
Orgão: AGU
Provas:

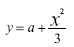
A função enunciado 1493861-1 é uma estimativa do comportamento do custo de energia elétrica de uma fábrica em relação à variável x. Dado que x representa o número de horas-máquina, pressupõe-se que o domínio da função é maior ou igual a zero. Assim, pode-se deduzir que:

 

Provas

Questão presente nas seguintes provas

Economista

100 Questões