Magna Concursos

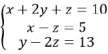
A solução do seguinte sistema linear enunciado 711922-1 é:

 

Provas

Questão presente nas seguintes provas

Analista de Projetos - Agronomia

82 Questões

Analista de Projetos - Econômico-Financeira

82 Questões

Analista de Projetos - Engenharia

82 Questões

Analista de Projetos - Jurídico

82 Questões

Analista de TI - Banco de Dados

82 Questões

Analista de TI - Desenvolvimento

82 Questões

Analista de TI - Suporte

82 Questões