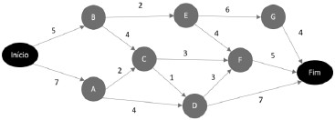
Apresenta-se a seguir a rede PERT/COM de um projeto que, desde a sua etapa de início e fim, deve passar por diversos estados, indicados pelos círculos com as letras. As setas indicam o tempo previsto, em quantidade de semanas, para realizar cada atividade que leva o projeto de um estado para outro.

Assinale a alternativa que indica dois estados que pertencem ao caminho crítico dessa rede.