Magna Concursos
3470221 Ano: 2024
Disciplina: Matemática
Banca: COTEC
Orgão: Câm. Mirabela-MG
Provas:

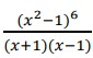
Simplificando a operação: Enunciado 4031755-1, pode-se obter:

 

Provas

Questão presente nas seguintes provas

Auxiliar Administrativo

30 Questões