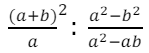
Simplificando o polinômio abaixo, obtém-se:

Provas
Questão presente nas seguintes provas
Advogado
40 Questões
Agente Administrativo
40 Questões
Arquiteto
40 Questões
Assistente Social
40 Questões
Bibliotecário
40 Questões
Biólogo
40 Questões
Contador
40 Questões
Controlador Interno
40 Questões
Dentista
40 Questões
Enfermeiro
40 Questões
Engenheiro Agrônomo
40 Questões
Engenheiro Civil
40 Questões
Farmacêutico
40 Questões
Fisioterapeuta
40 Questões
Fonoaudiólogo
40 Questões
Geólogo
40 Questões
Médico Veterinário
40 Questões
Nutricionista
40 Questões
Psicólogo
40 Questões