Magna Concursos
238169 Ano: 2015
Disciplina: Matemática Financeira
Banca: CESGRANRIO
Orgão: BASA
Provas:
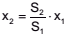
Em uma empresa, o total de descontos que incidem sobre o salário bruto de cada funcionário é proporcional ao valor desse mesmo salário bruto. Um funcionário F1 tem salário líquido igual a S1, calculado após a incidência do total de descontos igual a x1 reais. Um funcionário F2 tem salário líquido igual a S2, calculado após a incidência do total de descontos igual a x2 reais.

O total de descontos x2 é tal que
 

Provas

Questão presente nas seguintes provas

Técnico Bancário

60 Questões