Magna Concursos
421538 Ano: 2015
Disciplina: Arquitetura
Banca: BIO-RIO
Orgão: IF-RJ
Provas:
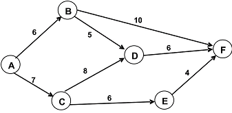
A figura abaixo mostra uma rede PERT-CPM associada a um processo de manufatura que envolve os estágios numerados de A a F. As setas indicam atividades a serem realizadas, com a duração indicada em horas.

Enunciado 421538-1

O processo todo de manufatura necessita, para sua execução, de um tempo mínimo de:
 

Provas

Questão presente nas seguintes provas

Arquiteto e Urbanista

50 Questões