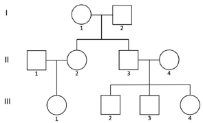
Figura 5A2
Os perfis genéticos dos indivíduos I-1 e I-2 para um determinado marcador genético são 11-15 e 14-16, respectivamente.

Tendo a figura 5A2 como referência, os possíveis genótipos dos filhos do casal da geração I, excluindo-se eventos de mutação, são