Magna Concursos
680868 Ano: 2015
Disciplina: Engenharia Civil
Banca: UFES
Orgão: UFES
Provas:
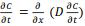
A 2ª Lei de Fick utilizada para modelar a penetração de íons cloreto em estruturas de concreto armado, sendo C a concentração de cloretos, D o coeficiente de difusão de cloretos e x a profundidade, é expressa pela equação
 

Provas

Questão presente nas seguintes provas