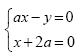
Com relação ao sistema
de incógnitas x e y, é correto afirmar que o sistema
de incógnitas x e y, é correto afirmar que o sistemaProvas
Questão presente nas seguintes provas
Analista Ministerial - Área Administrativa
80 Questões
Analista Ministerial - Controle Interno
80 Questões
Analista Ministerial - Orçamento
80 Questões