Magna Concursos
2076321 Ano: 2021
Disciplina: Matemática
Banca: FUNDATEC
Orgão: Pref. Vacaria-RS

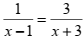
O valor de “x” que torna verdadeira a igualdade Enunciado 3140495-1 é:

 

Provas

Questão presente nas seguintes provas

Auxiliar Administrativo

40 Questões

Técnico de Contabilidade

40 Questões