1035628
Ano: 2016
Disciplina: Engenharia Eletrônica
Banca: CESPE / CEBRASPE
Orgão: Polícia Científica-PE
Disciplina: Engenharia Eletrônica
Banca: CESPE / CEBRASPE
Orgão: Polícia Científica-PE
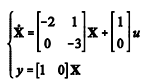
Um sistema linear é representado no espaço de estados pelas equações a seguir, em que u e y são, respectivamente, as variáveis escalares de entrada e saída e X é o vetor de estados do sistema.

Considerando essas informações, é correto afirmar que o sistema