No que se refere a matrizes, determinantes e sistemas lineares, julgue o item subsequente.
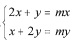
Para que o sistema
admita uma solução diferente da trivial, é suficiente que a constante m seja não nula.
Para que o sistema
admita uma solução diferente da trivial, é suficiente que a constante m seja não nula.Provas
Questão presente nas seguintes provas
Professor do Ensino Fundamental e Médio - Matemática
120 Questões