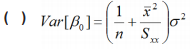
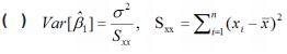
Considere um modelo linear simples
, e informe se é verdadeiro (V) ou falso (F) o que se afirma a seguir, assinalando a alternativa com a sequência correta.




, e informe se é verdadeiro (V) ou falso (F) o que se afirma a seguir, assinalando a alternativa com a sequência correta. 



Provas
Questão presente nas seguintes provas