Elaborou-se uma série de experimentos para a análise de carboidratos, proteínas e nucleotídeos, que permitissem também a observação de atividade enzimática, conforme descrição a seguir.
I Foram adicionadas gotas de lugol e de reagente de Fehling a fatias de banana verde e madura.
II Foi adicionada uma solução de saliva aos dois tipos de banana e, posteriormente, as mesmas adições de reagentes foram repetidas.
III Por meio de trituração de um dos tipos de banana, adição de detergente e cloreto de sódio, realização de aquecimento e resfriamento, em etapas, e adição de etanol gelado, foi obtida uma fração enriquecida em ácidos nucléicos, que pôde ser visualizada como filamentos, os quais puderam ser enrolados em um bastão de vidro.
IV Foram dosados proteínas e aminoácidos livres em uma solução de clara de ovo, procedimento repetido após a adição de pepsina.
Considerando os procedimentos experimentais mencionados, julgue os itens que se seguem.
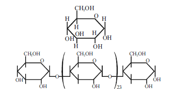
No experimento I, foram coradas moléculas com estruturas semelhantes às mostradas abaixo.
