Sejam X1, X2, X3, ..., XN variáveis aleatórias para uma amostra de tamanho N.
Defina a Média amostral !$ (\overline {X}) !$ como: !$ (\overline {X}) = \dfrac {X_1 + X_2 + X_3 + ... + X_N} {N}. !$
Sabendo que: !$ E(X_i) = \mu !$ e !$ VAR (X_i) = \sigma^2 !$, avalie as afirmativas abaixo:
I. O valor esperado da média amostral é !$ E (\overline {X}) = \mu !$
II. A variância da média amostral é: !$ VAR (\overline {X}) = \dfrac {\sigma^2} {N}. !$
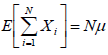
III. O valor esperado de !$ \sum^{n}_{i=1} X_i !$, é igual a 
Assinale