Magna Concursos
73290 Ano: 2011
Disciplina: Engenharia Civil
Banca: FCC
Orgão: INFRAERO

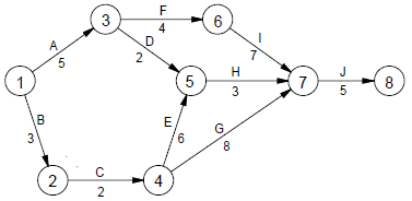
Considere a rede da figura.

Enunciado 3456068-1

A rede da figura representa uma obra de construção civil. Os círculos representam os eventos e as letras representam as atividades, cuja duração, em dias, é indicada ao seu lado inferior.

Os serviços que definem o caminho crítico são, respectivamente,

 

Provas

Questão presente nas seguintes provas

Engenheiro Civil - Manutenção Predial

60 Questões