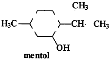
O mentol é uma substância utilizada na fabricação de balas, goma de mascar , medicamentos, etc., sendo responsável pelo aroma de menta.

Considerando a estrutura do mentol, podemos afirmar que sua fórmula molecular e o número de carbonos primários presentes na estrutura são, respectivamente,