Magna Concursos
517702 Ano: 2018
Disciplina: Engenharia Eletrônica
Banca: CESPE / CEBRASPE
Orgão: FUB
Provas:

Com relação a sistemas de controle e processamento de sinais, julgue o item seguinte.

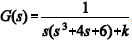
Se a função de transferência em malha fechada de um sistema for enunciado 517702-1, ele será estável para - 20 < k < 0.

 

Provas

Questão presente nas seguintes provas

Engenheiro Eletricista

120 Questões