Magna Concursos
3111303 Ano: 2024
Disciplina: Matemática
Banca: FUNDATEC
Orgão: Pref. Giruá-RS
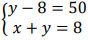
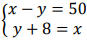
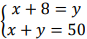
Uma prova de concurso foi elaborada com um único exercício de questões de verdadeiro ou falso. São 50 afirmativas para os concorrentes analisarem. Sabemos que a quantidade de afirmativas verdadeiras supera as falsas em 8 questões. Chamando de “x” as afirmativas verdadeiras e de “y” as falsas, assinale a alternativa que indica corretamente o sistema associado a esta situação.
 

Provas

Questão presente nas seguintes provas

Auditor-Fiscal Municipal

40 Questões

Contador

40 Questões

Fiscal de Posturas-Urbanista Municipal

40 Questões

Fiscal de Tributos

40 Questões