- Química OrgânicaReações OrgânicasReações Orgânicas: Substituição, Adição e Eliminação
- Química OrgânicaReações OrgânicasReações Orgânicas: Oxidação, Redução e Polimerização
- Transformações Químicas e EnergiaEletroquímica
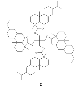
Atenção: Considere as informações abaixo para responder a questão.
Breu (ácido abiético, fórmula molecular C19H29COOH) e pentaeritritol (2,2-Bis (hidroximetil)1,3-propanodiol; fórmula molecular C5H12O4) reagem, eliminando água, para formar o composto I, muito utilizado na indústria de tintas e de borracha.
