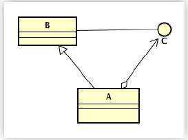
A figura a seguir representa um diagrama de classe UML.

Com base nesse diagrama UML, analise as afirmativas abaixo.
I Classe B implementa a interface C.
II Classe A está associada à classe B.
III Classe A é composta de objetos da interface C.
IV Classe B está associada à interface C.
Estão corretas as afirmativas