
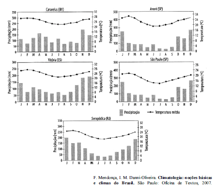
Julgue os itens a seguir, relativos às características do clima representado pelos climogramas acima.
A cidade de São Paulo apresenta temperaturas mais amenas que as demais localidades, pois se situa sobre o relevo elevado do sudeste, além de sofrer o efeito da maritimidade e da frente polar atlântica.