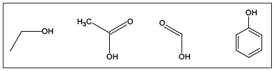
Os possíveis catalisadores de uma esterificação estão indicados a seguir:

Em uma reação de esterificação, o pKa do catalisador é um fator muito importante para o melhor rendimento do produto de interesse. Dentre os compostos apresentados, a ordem crescente de pKa é:
Provas
Questão presente nas seguintes provas