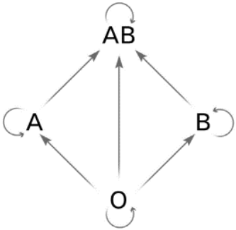
Observe o esquema abaixo.

Figura: Esquema representando as possíveis doações de sangue
que podem ocorrer entre indivíduos com diferentes grupos
sanguíneos. As setas indicam para quem os determinados grupos
podem doar. Fonte: Cíntia Fridman, USP.
De acordo com o esquema da figura e baseado em seus conhecimentos, assinale a alternativa incorreta.