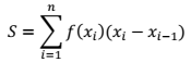
Considere a funçãoƒ(x) = x definida em e [a,b] e Ii =[xi-1, xi ]com i = 1,2,3,...,n uma partição de [a,b]. Tomando uma partição uniforme, a soma de Riemann

é dada por
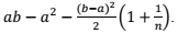
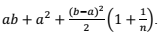
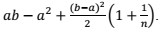
Considere a funçãoƒ(x) = x definida em e [a,b] e Ii =[xi-1, xi ]com i = 1,2,3,...,n uma partição de [a,b]. Tomando uma partição uniforme, a soma de Riemann

é dada por