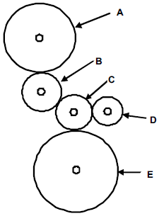
Esta figura mostra a representação esquemática de uma transmissão por engrenagens, cujos números de dentes são: A = 30, B = 15, C = não fornecido, D = 14, e E = 50. O círculo no interior de cada engrenagem mostra o eixo onde elas estão fixadas por meio de chavetas.

Desprezando as perdas inerentes à transmissão e sabendo que a engrenagem de 30 dentes gira a 1000 rpm, pode-se afirmar que a engrenagem de 50 dentes girará com uma RPM de