Magna Concursos
405522 Ano: 2017
Disciplina: Engenharia Eletrônica
Banca: IFB
Orgão: IFB

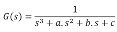
Utilize o método de Routh-Hurwitz para determinar os valores de a, b e c que garantem a estabilidade do sistema:

Enunciado 405522-1

 

Provas

Questão presente nas seguintes provas

Professor PEBTT - Mecatrônica

50 Questões