- Química OrgânicaFunções Oxigenadas: Álcool, Fenol e Enol
- Química OrgânicaFunções Oxigenadas: Cetona, Aldeído, Éter, Éster, Ácido Carboxílico etc.
- Química OrgânicaReações OrgânicasReações Orgânicas: Substituição, Adição e Eliminação
- Química OrgânicaReações OrgânicasReações Orgânicas: Oxidação, Redução e Polimerização
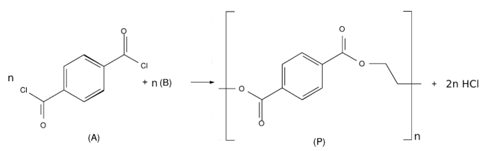
A química teve impacto na nossa vida cotidiana em diversos momentos e segmentos, inclusive revolucionando a
maneira de nos vestirmos. O surgimento dos tecidos sintéticos alterou profundamente a indústria têxtil. Os tecidos de
poliéster são um dos principais exemplos. Na reação de polimerização por acilação, mostrada a seguir, são
empregados dois monômeros.

Para obtenção do produto (P), o derivado de cloreto de acila (A) deve reagir com o reagente (B), que é o:

Para obtenção do produto (P), o derivado de cloreto de acila (A) deve reagir com o reagente (B), que é o: