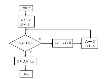
O fluxograma abaixo contém uma seqüência finita de instruções a serem executadas na ordem em que são apresentadas, começando-se da posição designada por "início" e seguindo-se as setas. Dentro das formas retangulares, a seta para a esquerda indica que o valor escrito ou obtido à direita é atribuído à variável à esquerda. A expressão no losango é avaliada e, quando resultar verdadeira, prossegue-se na direção indicada por V, e, quando for falsa, prossegue-se na direção indicada por F. Se P e Q representam proposições que podem ter valorações V ou F, então as expressões ¬P, P→Q, P
Q e P
Q, que são lidas "não P", "P implica Q", "P ou Q" e "P e Q", respectivamente, também são proposições e podem ter valorações V ou F conforme as valorações dadas a P e a Q.

A partir do texto e do fluxograma precedente, em que A, B, X e Y são proposições quaisquer, siga as instruções do fluxograma e julgue os itens a seguir.
Se as valorações iniciais de A e de B fossem, respectivamente, F e F, então a valoração de Y seria também F.